9 Step 3 Inductive step. Induksi matematika merupakan salah satu bab yang dipelajari di matematika SMA.
Contoh Soal Pertidaksamaan Induksi Matematika Beserta Pembahasannya
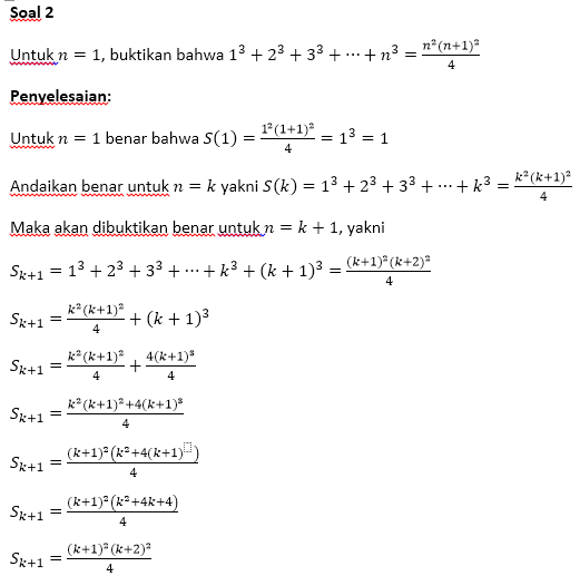
Soal dan Pembahasan Induksi Matematika pada Keterbagian Bilangan.

Penyelesaian soal induksi matematika. Melanjutkan materi yang sudah- sudah sekarang saya akan membahas mengenai INDUKSI MATEMATIKA. 20200721 1 Contoh Soal Induksi Matematika dan Pembahasan 11 1. Buktikan bahwa rumus tersebut berlaku untuk deret yang diberikan.
1292020 Pembuktian Suatu Pernyataan Menggunakan Induksi Matematika Hai haii. Untuk membuktikan suatu rumus dengan memakai induksi matematika. 2162021 Contoh soal induksi matematika beserta penyelesaian.
Metode ini sangat berguna dalam olimpiade matematika. Untuk soal mengenai keterbagian bilangan dapat dilihat di tautan berikut. Harus ditunjukkan bahwa hasilnya benar untuk n m.
8232016 Halo teman teman masih ingat dengan postingan saya tentang Induksi Matematika. Untuk soal mengenai keterbagian bilangan dapat dilihat di tautan berikut. Tunjukkan dan buktikan dengan induksi matematika.
Untuk n 1 maka 13 21 3 adalah kelipatan 3. Gunakan induksi matematika untuk membuktikan rumus. Induksi matematika merupakan salah satu metode pembuktian identitas atau kesamaan dalam matematika.
Gunakan induksi matematika untuk membuktikan 2n. Fxy 20000x 30000y. Saya yakin teman teman ada yang masih bingung bagaimana sih sebenarnya cara untuk membuktikan suatu rumus dengan memakai induksi matematika.
Buktikan dengan induksi matematika bahwa Buktikan dengan induksi matematika bahwa 1 2 3. Contoh soal induksi matematika dan penyelesaiannya pdf. 7212020 1 Contoh Soal Induksi Matematika dan Pembahasan.
Kita harus memperlihatkan bahwa pn 1 juga benar yaitu n 13. Terdapat beberapa langkahpembuktian dengan induksi matematika. Jika jumlah a.
Pemain yang berhasil mengambil batang korek api terakhir ditetapkan sebagai pemenang permainan ini. Download PDF 110 KB. Baiklah disini saya akan memperjelas postingan saya yang lampau.
Dimana setiap x dan y adalah bilangan cacah. Induksi Matematika Kuat Suatu permainan memiliki aturan bahwa dua pemain dalam permainan tersebut secara bergiliran mengambil sejumlah batang korek api yang dia mau dari satu dari dua bungkus korek api. 962017 Contoh soal dan Penyelesaian Induksi Matematika dibawah ini merupakan contoh Induksi Matematika sederhana untuk itu anda bisa mengembangkan soal sampai yang rumit Selamat belajar matematika 1.
Aplikasi induksi matematika dalam masalah kontekstual. Untuk semua bilangan bulat n 1. Apabila didefinisikan relasi R dari himpunan P ke Q dengan pq R dengan q habis dibagi p.
Bagian kedua induksi matematika memiliki dua. Ketika n 1 rumus tersebut benar karena. 452021 Dalam mengerjakan soal induksi matematika terdapat dua cara yaitu mencari basis induksi dan langkah induksi.
Induksi matematika adalah metode pembuktian suatu pernyataan kita akan gunakan metode ini untuk membuktikan suatu pernyataan yang ada dalam kehidupan nyata. Pembahasan Induksi matematika terdiri dari dua bagian yang berbeda. Jika diberikan sebuah deret seperti di bawah ini.
Fxy 100002x3y Fxy 100002xyy. Untuk semua n 1 buktikan dengan induksi matematik bahwa n3 2n adalah kelipatan 3. Soal juga tersedia dalam format PDF yang dapat diunduh melalui tautan berikut.
Pertama kita harus menunjukkan bahwa rumus tersebut benar ketika n 1. Harus ditunjukkan bahwa hasilnya benar untuk n k 1. Diasumsikan bahwa hasilnya benar untuk n k.
Teorema itu bermakna Step 1 Basis step. Pos-pos Terbaru Cara Memfaktorkan Bentuk Kuadrat Dengan p 1. Setelah melihat contoh soal induksi matematika di atas dalam mencari kebenaran pernyataan matematika dapat dilakukan dengan 2 langkah yaitu basis induksi dan langkah induksi seperti pembahasan di atas.
Misalkan pn benar yaitu proposisi n3 2n adalah kelipatan 3 hipotesis induksi. N untuk n 4. Pada kesempatan kali ini saya akan share Materi soal dan pembahasan.
662018 Soal-soal induksi matematika berikut mengenai pembuktian deret dan ketaksamaan bilangan. Uktikann 2 pangkat n untuk n. Sebelum menyentuh basis induksi kita harus menuliskan model matematika dari persoalan di atas.
Induksi matematika adalah metode pembuktian yang sering digunakan untuk menentukan kebenaran dari suatu pernyataan yang. Step 2 Induction hypotheses.
Contoh Soal Induksi Matematika Kelas 11 Pilihan Ganda Kumpulan Soal Pelajaran 5
Contoh Soal Induksi Matematika Kelas 11 Beserta Jawabannya Tekape Id
Kumpulan Contoh Soal Induksi Matematika
100 Contoh Soal Induksi Matematika Jawaban Dikdasmen
Contoh Soal Induksi Matematika Brainly
Contoh Soal Induksi Matematika
Contoh Soal Induksi Matematika
Contoh Soal Induksi Matematika Beserta Jawabannya
Contoh Soal Induksi Matematika Dan Penyelesaiannya Dikdasmen